förenkla
Förenkla
Kan du hitta något som du kan bryta ut?
Använd formeln a^b*a^c = a^(b+c) "baklänges" och följ sedan Smaragdalenas råd.
Då förstår jag.
Päivi skrev :
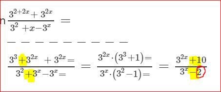
Nej det ser inte rätt ut vare sig i täljaren eller nämnaren.
Vi tittar nu enbart på täljaren:
Förstod du att det blir så?
Kan du nu göra på liknande sätt med nämnaren?
Jag somnade ett tag, men jag ska försöka göra det fast Jsg nyligen vaknade upp.
Jag ska försöka skriva här så jag inte skriver i sömnen
Päivi skrev :Jag ska försöka skriva här så jag inte skriver i sömnen
Känns som att -2 är fel i nämnaren
Armend skrev :Päivi skrev :Jag ska försöka skriva här så jag inte skriver i sömnen
Känns som att -2 är fel i nämnaren , likaså +10 i täljaren
Päivi skrev :Jag ska försöka skriva här så jag inte skriver i sömnen
Nej det stämmer inte.
Du har adderat (och subtraherat) istället för att multiplicera (gulmarkerat).
Du har räknat fel på 3^2 - 1 i nämnaren (rödmarkerat).

9-1= 8
Päivi skrev :9-1= 8
Ja. Du borde verkligen kontrollera det du skriver mer innan du lägger ut det här Päivi.
Päivi skrev :
Ja. Bra. Och där fick jag.
Jag slarvade själv tidigare och trodde det stod 3^2+1 istället för 3^3+1 i täljaren. För sent att ändra nu.