3
svar
133
visningar
Kicke21 behöver inte mer hjälp
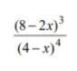
förenkla

Svaret ska bli
Jag tänkte att man kunde skriva om det till men då blir svaret
Är du med på att du har tre stycken likadana parenteser i täljaren? Är du med på att du kan bryta ut en tvåa från var och en av de tre parenteserna? Då har du sammanlagt brutit ut 23 = 8.
Smaragdalena skrev:Är du med på att du har tre stycken likadana parenteser i täljaren? Är du med på att du kan bryta ut en tvåa från var och en av de tre parenteserna? Då har du sammanlagt brutit ut 23 = 8.
Då förstår jag, tack!
Man kan tyvärr inte faktorisera ut en tvåa bara sådär eftersom att vi har ^3. Prova att skriv ut (8-2x)^3 som tre styckna (8-2x), sen så kan du faktorisera ut vad du vill. Och då kommer du kunna se att man kan förenkla det.