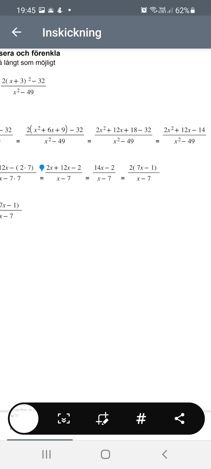
Förenkla
Hej jag undrar vad jag gör för fel. Hur ska jag göra?

Vad menar du?
Du har delat med termen (x+7) på nåt väldigt märkligt sätt.
Jag förstår hur du har gått tillväga har, men jag förstår inte en sak. Det är hur du omvandlar 2 (x^2+6x-7) till 2(x+7) (x-1).
Jag ser att (x+7) (x-1) blir (x^2+6x-7). Men förstår inte hur man omvandlar omvänt. Finns det någon regel som man ska följa eller någon tankesätt?
Kvadratkomplettering eller pq-formel för att få ut deras nollställen.
Enligt faktorsatsen kan ett polynom sedan faktoriseras med dess nollställen.
Med pq:
Ett nollställe a ger faktorn: (x - a)
Så (x - 1) och (x- (-7)) = (x+7) är faktorer i x2+6x-7
Jag tackar så mycket för förklaringen. Ha en trevlig kväll:)
Ingen fara! Tack detsamma :)