4
svar
99
visningar
CrazyCathy behöver inte mer hjälp
Förenkla
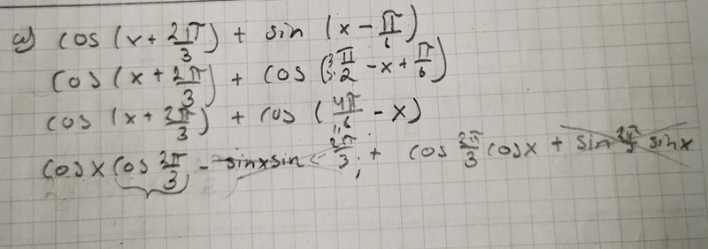
Hej jag skulle vilja ha hjälp med följande uppgift,

Jag har börjat så här:

Men jag vet inte hur jag ska fortsätta för att svaret ska bli - cosx.
Jag kan bara få det till att bli 2cosxcos 2pi/3.
Tacksam för all hjälp!
Bra!
Nästan framme.
Hur mycket är cos(2pi/3)?
120 grader?
Hur mycket är cos(120)?
Hahaha (- 1/2)
Cosx (- 1/2) + cosx (-1/2) = - 2cos 1/2 = - cos
Tack tack!