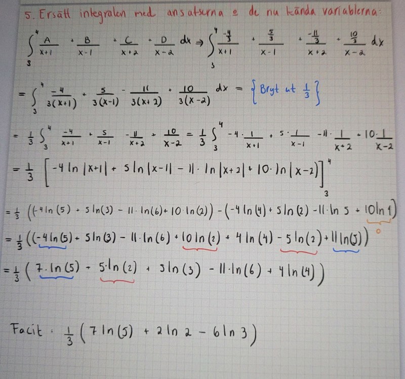
Förenkla

På sista sidan behöver jag hjälp med. Jag vet att jag kan förenkla logartimerna med logartimlagen för addition respektive subtraktion. Men jag har testat det men får bara jobbiga siffror
Ofta har facit bara primtal inne i ln, så testa primtalsfaktorisera först och dela sen upp logaritmen efter det.
Hur då? Jag kan skriva om 4ln4 till som sedan kan skrivas om till
4ln4 = 8ln2.
Sen så hade jag en +5ln2, så totalt av dem är 5ln2+8ln2=13ln2.
Det jag har kvar då är:
+13ln2
+5ln3
-11ln6
(7ln(5)) är redan rätt så den behöver man inte göra ngt med.
Hur kan jag använda logartimreglerna, jag kan inte skriva om de så som jag gjort tidigare i #3
13ln(2) = ln(213)
5ln(3) = ln(35)
-11ln(6) = -ln(311*211)
summerar vi får vi
Ture skrev:13ln(2) = ln(213)
5ln(3) = ln(35)
-11ln(6) = -ln(311*211)summerar vi får vi
Det du gör på tredje raden, finns det någon regel för det att man kan sära på 3:an och 2:an?
Ett annat alternativ som kanske är enklare är att skriva allt i termer av ln(2), ln(3) och ln(5) och sedan tillfälligt införa andra beteckningar för dessa tal:
Vi har att
- ln(4) = ln(22) = 2ln(2)
- ln(6) = ln(3•2) = ln(3)+ln(2)
Då får vi att
7ln(5)+5ln(2)+5ln(3)-11ln(6)+4ln(4) = 7ln(5)+5ln(2)+5ln(3)-11(ln(3)+ln(2))+4•2ln(2)
Om vi nu ersätter ln(2) med a, ln(3) med b och ln(5) med c så får vi uttrycket
7c+5a+5b-11b-11a+8a = 7c-6b+2a
Nu kan vi byta tillbaka från a, b och c, vilket ger oss 7ln(5)-6ln(3)+2ln(2)
offan123 skrev:Ture skrev:13ln(2) = ln(213)
5ln(3) = ln(35)
-11ln(6) = -ln(311*211)summerar vi får vi
Det du gör på tredje raden, finns det någon regel för det att man kan sära på 3:an och 2:an?
Kolla räkneregler för exponenter
(ab)^c = a^c*b^c
Aha, tack