6
svar
203
visningar
Kem018 behöver inte mer hjälp
Förenkla bråk
Förenkla bråk så långt som möjligt.
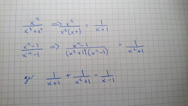
Fastnat på denna. Försöker få nämnaren lika. Men löser sig inte, tips på vad jag ska tänka på?

Försök att först förenkla medelst förkortning och användande av konjugatregeln. Sedan kan du komma vidare.
Jag har testat att förenkla, är det på rätt väg, isf hur tänker jag nu?
Fortsätt med att beräkna och sätt in det resultatet.
Jag har nu löst de tror jag, är de på rätt sätt, eller har jag tagit en krånglig väg?


Jag skulle ha gjort i princip likadant.
Okej tack för hjälpen!