Förenkla den här uppgiften (röd uppgift)
jag vet inte riktigt hur jag ska göra här.
uppgiften är att förenkla roten ur i parenteser.
Min tanke är att jag först förenklar varje roten ur sen multiplicerar parentesernas roten ur med varandra fast enligt regel. Men de blir inte bra. Ska försöka skicka min ut rräkning som bild nedan, om de inte går får jag skriva in de för hand.

Hej.
Din första förenkling stämmer inte. Det gäller inte att 2x+1 är lika med 3x och det gäller inte att 2x-1 är lika med x.
Gör istället så här:
Byt tillfälligt ut mot a och mot b.
Uttrycket du ska förenkla kan då skrivas (a+b)(a-b).
Titta i din formelsamling efter en lämplig formel för att skriva om detta uttryck.
Byt sedan tillbaka från a till och från b till .
Okej tack ska testa de nu
Det stämmer.
Kan du fortsätta därifrån?
Jag försökte men tror inte de blir helt rätt,
jag tänker att jag vill ta bort roten, så jag gör de genom att räkna ut roten,
Tänker typ så här:
2x+1 = 3x vidare 3x^2= 9x^2
9x^2 blir ju 3x alltså roten ur 9x^2 blir 3x
sen den andra är
2x-1 = 1x eller x Vidare x^2 som är x • x eller 1•1
3x -x = 2x ?
typ så här

Läs mitt svar #2 igen.
Det gäller inte att 2x+1 är lika med 3x och det gäller inte heller att 2x-1 är lika med x.
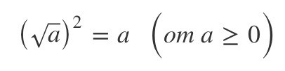
Däremot gäller det att "roten ur" och "upphöjt till 2" tar ut varandra.
Ecempel: Det gäller att (om ).
Med hjälp av det kan du förenkla rotuttrycken.
Okej, jag tänker typ så här?
Min tanke är att i steget där jag ”tar bort” roten så räknar jag ”ner den” för att försöka få ner det till singel, så jag sen räknar bort den med hjälp av den andra roten?
Du har gjort rätt men jag förstår inte din förklaring.
Se Yngves förklaring i inlägg #8 om hur "roten ur" och "upphöjt i 2" tar ut varandra:
Hej, tack för svaret. Jo jag förstår att det blir så, men ville försök visa hur de blir så, alltså när ”roten ur” liksom försvinner, typ stegen, men de kanske inte går. Kanske ska jag bara skriva direkt så där som du skrev och strunta i ”mellan steg” men tänkte att de kanske går att göra så alltså visa stegen tydligt.
****
för tycker bara inte de är så beskrivande när man går från ^2 roten ur till inget alls. Men förstår att de är en regel, men ja, tänkte bara försöka på nå vis visa hur de blir så.
Jättebra att du vill vara tydlig. Ett sätt kan vara att skriva ut den generella regeln 
precis som du gjort med konjugatregeln. Och sen tillämpa den.
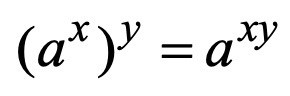
Kan dock kräva att den finns i er formelsamling. Den generella regeln som borde stå där är:
Man måste då veta att
Då får man:
Jätte tack!! ska skriva om de så de blir mer så som du skrev det.
Typ så här ?

känns bara ovant att ha och skriva så mycket under rot tecknet alltså exempel 2x+1 men lika bra att öva in det, lär komma flera såna uppgifter
Det fattas en massa parenteser på båda raderna, bortsett från detta ser det bra ut.
Tack för svaret, får sätta dit de, ^2 & den räkningen tänker jag åker in i parenteserna
