2 svar
107 visningar
sportemy 33 – Fd. Medlem
Postad: 23 sep 2023 14:21

Förenkla denna funktion för att grovlokalisera den minsta ooch största positiva roten

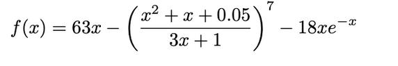
Hejsan, jag har följande funktion;

Och de vill att jag ska med en penna, papper och en enkel minirräknare grovlokalisera den minsta och största positiva roten (ingen grrafritare). Rötterna ska anges med minst 1 siffra och tiopotens.

Jag tänker mig att jag kan lätt hitta den minsta positiva roten genom att bara stoppa in 0 i funktionen och då får jag 7,8125*10^-10 vilket är nästan 0. Men hur ska jag gå tillväga med förenklingen? Jag har försökt förenkla den så men jag får ingen ekvation som jag kan "enkelt" lösa rötterna.  Då försöker jag tänka på hur de snabbt 3 termerna ökar/minskar till förhållande till varandra när x går mot oändligheten.
63x kommer att öka snabbast i början, men sen kommer ((x^2+x+0.05)/(3*x+1))^7 ikapp och börjar sticka iväg som inåt satan tills den blir den dominerande termen.
-18*x*e-x kommer att minska hela tiden, redan vid 4x=4 är den redan mindre än 0.

Detta hjälper mig dock inte särskilt att hitta den största roten....

Smutstvätt 23687 – Moderator
Postad: 23 sep 2023 14:37

Hur vet du att du får den minsta positiva roten om du stoppar in noll i funktionen? Det ger dig f(0)f(0), men hur motiverar du att det är den minsta roten till f? 

sportemy 33 – Fd. Medlem
Postad: 23 sep 2023 14:47
Smutstvätt skrev:

Hur vet du att du får den minsta positiva roten om du stoppar in noll i funktionen? Det ger dig f(0)f(0), men hur motiverar du att det är den minsta roten till f? 

Nu vet jag redan efter att har kört Newton-Raphsons metod på matlab så hittade jag den minsta roten (1.7361*10^-11) och största ( 6.4321e+00). Men detta sättet är ju lite fusk då den är tänkt att jag ska räkna detta för hand utan grafräknare och miniräknare.....

Svara
Close