Förenkla ekvation
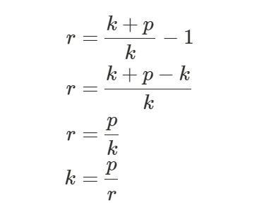
Hur är det möjligt att förenkla nedanstående ekvation på sättet nedan?
Jag förstår inte alls varför man i andra steget kan subtrahera K i täljaren och ta bort -1 från högerledet? .
Förvirrad :S

Mellansteg mellan rad 1 och rad 2: . Sedan skriver man det på samma bråkstreck.
Smaragdalena skrev:Mellansteg mellan rad 1 och rad 2: . Sedan skriver man det på samma bråkstreck.
Ok! Jag trodde inte man kunda ta k/k eftersom det är addition i täljaren? Jag trodde man bara kunde göra så när det är multiplikation, alltså om det hade stått KxP/K -1
Så här skrev en annan person nämligen till mig i en tråd för ett tag sen:

Då handlade det om att dela med samma tal i täljare och nämnare, det är en helt annan situation. Det du INTE kan föra är att "förkorta bort" det första k:et.
Hmm, så man gör alltså helt enkelt om -1 till -k eftersom k/k är samma sak som 1? Det hade jag aldrig kommit på :D
Du kan gå en annan väg också:
(k+p)/k = 1 + p/k
och sen dra bort 1.
Laguna skrev:Du kan gå en annan väg också:
(k+p)/k = 1 + p/k
och sen dra bort 1.
Hur kan (k+p)/k vara samma sak som 1 + p/k?
Smaragdalena skrev:Mellansteg mellan rad 1 och rad 2: . Sedan skriver man det på samma bråkstreck.
Om man skriver om det på samma bråkstreck, borde det då inte bli:
Eftersom det är inte -(k/1) man lägger till, utan -(k/k) ju?
MrBlip skrev:
Om man skriver om det på samma bråkstreck, borde det då inte bli:
Eftersom det är inte -(k/1) man lägger till, utan -(k/k) ju?
Om jag förstår det rätt så frågar du om det inte borde gälla att är lika med ?
Svaret är nej, det gäller inte.
Jag tror min förvirring beror på att jag inte riktigt har koll på hur man får dela upp bråk, så här kommer en fråga om det:
Om man har ett bråk:
Kan man dela upp bråket då på detta viset:
Är det samma sak alltså?
Laguna har ju skrivit det ovanför, men jag fattade inte att man fick göra så! Måste nog repetera grunder!
Ok nu fattar jag,
Och sen drar man bort 1.
Smaragdalena skrev:eller
Ja, jag betvivlar inte att det är så, det jag däremot inte kan förstå är hur:
I min värld blir det:
Jag förstår att jag tänker fel, men jag förstår inte varför?
Hmm eller just det, man adderar/subtraherar inte nämnarna om man adderar/subtraherar ett bråk med samma nämnare? Utan bara täljarna?
Tänk dig 2 femtedelar + 1 femtedel - hur mycket blir det?