1 svar
108 visningar
lund 529 – Fd. Medlem
Postad: 12 feb 2020 20:16 Redigerad: 12 feb 2020 20:16

Förenkla ekvationer med rotuttryck

Hej,

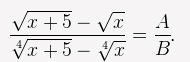
Jag ska skriva om följande uttryck så att nämnaren inte innehåller några rotuttryck samt så förkortad som möjligt:

Men jag förstår inte hur jag ska räkna dessa när det är ett minus mellan dom, hur fungerar potensreglerna då?
Har testat att ta upp hela nämnaren och sätta denna som ^(-1) utan framgång. Uppskattar om någon kan hjälp mig med hur man ska börja och hur man ska tänka.

Inabsurdum 118 – Fd. Medlem
Postad: 12 feb 2020 20:25

Multiplicera med någonting i nämnaren för att kunna använda konjugatregeln (och samma i täljaren för att behålla likhet).

Svara
Close