Förenkla ett algebraiskt uttryck
Behöver hjälp med denna uppgift:
Förstår vad de är ute efter, men vet ej hur jag ska göra. Tänkte att man kanske kunde byta ut bråken till decimalform, men fick fel svar. Sedan försökte jag räkna ihop bråken först men det gick inte heller.
Tack i förhand för hjälp! /Rimsha
Ditt andra förslag, räkna ihop bråken först, låter bra.
Det bör fungera. Visa hur du gjorde, genom att skriva här eller lägga upp en bild. Då kan vi se var det blir fel.
Försök att bli av med parenteserna och förenkla den sista termen.
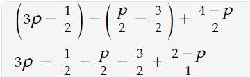
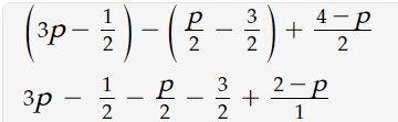
Bilden är lite suddig, så säkrast att kolla. Är det följande uttryck som ska förenklas:
, och uttryckets värde för ska beräknas.
Sten skrev:Ditt andra förslag, räkna ihop bråken först, låter bra.
Det bör fungera. Visa hur du gjorde, genom att skriva här eller lägga upp en bild. Då kan vi se var det blir fel.
Försök att bli av med parenteserna och förenkla den sista termen.
Bilden är lite suddig, så säkrast att kolla. Är det följande uttryck som ska förenklas:
, och uttryckets värde för ska beräknas.
Ja, det stämmer!
Jag gjorde på följande sätt på första frågan:

Dock så är det fel svar enligt facit då det ska bli: 2p - 3
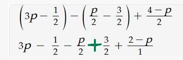
Det finns ett par fel på andra raden:

Tänk på att det är ett minustecken framför den andra parentesen på den första raden. Det påverkar båda termerna:
Den sista termen förkortar du med 2. Men det påverkar både 4 och p, som i så fall borde bli 0,5p
Sten skrev:Det finns ett par fel på andra raden:
Tänk på att det är ett minustecken framför den andra parentesen på den första raden. Det påverkar båda termerna:
Den sista termen förkortar du med 2. Men det påverkar både 4 och p, som i så fall borde bli 0,5p
Jaha, okej, såg felet nu på sista termen. Men hur blir det med parenteserna? Blir det addition? Känner att jag nästan är helt ute och cyklar nu.
Båda termerna inom den andra parentesen byter tecken eftersom det finns ett minustecken framför.

Jag skulle föreslå att man skriver om den sista termen, då blir den enklare att jobba med:
Vill man att alla termer ska ha samma nämnare kan man skriva om första termen:
Men det finns olika sätt att förenkla uttrycket.
Löste första uppgiften: :)
I andra uppgiften så står det i facit att det ska bli 2, men jag får svaret till -4.

I ditt senaste svar #7 blev förenklingen i första uppgiften 2p+3.
Men i uträkningen av andra uppgiften står det ett minustecken: 2p-3 på första raden.
Om man räknar med att förenklingen blir 2p+3, så blir lösningen -1+3, vilket är 2, som det står i facit.
Men i tråd #3 så skrev du att förenklingen ska bli 2p-3 enligt facit, så något verkar skumt.
Men jag tycker att vi räknat rätt på både förenkling och andra uppgiften, och i så fall blir svaren:
a) 2p+3
b) 2
Sten skrev:I ditt senaste svar #7 blev förenklingen i första uppgiften 2p+3.
Men i uträkningen av andra uppgiften står det ett minustecken: 2p-3 på första raden.
Om man räknar med att förenklingen blir 2p+3, så blir lösningen -1+3, vilket är 2, som det står i facit.
Men i tråd #3 så skrev du att förenklingen ska bli 2p-3 enligt facit, så något verkar skumt.
Men jag tycker att vi räknat rätt på både förenkling och andra uppgiften, och i så fall blir svaren:
a) 2p+3
b) 2
Jaha, det var där tabben var! Kollade fel antar jag, enligt facit ska svaret på uppgift a) vara 2p+3, och b) 2. Nämen i så fall blir det ju rätt, har löst det! Tack så hemskt mycket för hjälpen!
Så bra, då stämmer allt!
Hoppas du är med på förenklingen, annars får du fråga mer.
Och välkommen tillbaka till Pluggakuten när du har nya frågor.
