1
svar
69
visningar
Nick12 behöver inte mer hjälp
Förenkla fakulteter :( del 2

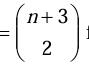
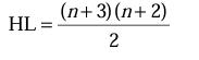
Vet inte riktigt helt säkert vad jag ska få detta att bli.
fick jag, enligt facit ska det vara 
Det borde bli i nämnaren, inte bara . Det gör att du kan förenkla bort en del faktorer. :)