12 svar
120 visningar
Nick12 behöver inte mer hjälp
Nick12 23
Postad: 26 mar 2024 16:25 Redigerad: 26 mar 2024 16:25

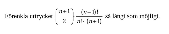
Förenkla fakulteter :(

Löser bara det till fel varje gång jag försöker, känns som jag missar något om vad n! ens betyder.

Yngve 42947
Postad: 26 mar 2024 16:26 Redigerad: 26 mar 2024 16:30

Visa ett av dina försök så kanske vi kan hitta felet på en gång.

Använd följande från din formelsamling:

mkm \choose k = m!(m-k)!k!\frac{m!}{(m-k)!k!}

Nick12 23
Postad: 26 mar 2024 16:35
Yngve skrev:

Visa ett av dina försök så kanske vi kan hitta felet på en gång.

Använd följande från din formelsamling:

mkm \choose k = m!(m-k)!k!\frac{m!}{(m-k)!k!}

(n+1)!(n-1)!*2!*(n-1)!n!*(n+1)

Jag börjar sådär sen efter det är det gissningar men jag tror inte ens jag gör det rätt från första början 

Yngve 42947
Postad: 26 mar 2024 16:39

Jo det är rätt. Bra!

Skriv nu om (n+1)! som n!*(n+1).

Se om du hittar några gemensamma faktorer i täljare och nämnare.

Nick12 23
Postad: 26 mar 2024 16:43 Redigerad: 26 mar 2024 16:52
Yngve skrev:

Jo det är rätt. Bra!

Skriv nu om (n+1)! som n!*(n+1).

Se om du hittar några gemensamma faktorer i täljare och nämnare.

Jag fick det tilln+1(n-1)*2!*n-1n!*(n+1)är det rätt?

Yngve 42947
Postad: 26 mar 2024 16:46

Nej det stämmer inte. 

Visa alla räknesteg på vägen dit.

Nick12 23
Postad: 26 mar 2024 16:51 Redigerad: 26 mar 2024 16:52
Yngve skrev:

Nej det stämmer inte. 

Visa alla räknesteg på vägen dit.

inser nu att det inte fanns en ! efter (n+1) på högerled i nämnaren

Nick12 23
Postad: 26 mar 2024 16:55 Redigerad: 26 mar 2024 16:55

n+1(n-1)*2!*n-1n+1så här borde det bli kanske

Yngve 42947
Postad: 26 mar 2024 16:58

Ja, det stämmer.

Hittar du fler gemensamma faktorer?

Nick12 23
Postad: 26 mar 2024 17:04
Yngve skrev:

Ja, det stämmer.

Hittar du fler gemensamma faktorer?

Ingenting riktigt men ja kanske kan ta nämnare * täljare i ?

Bedinsis 3359
Postad: 26 mar 2024 18:15
Nick12 skrev närapå:

n+1(n-1)*2!*n-1n+1så här borde det bli

Fixade till det en smula. Dels för att göra det mer korrekt, dels för att du enklare skall kunna se vad som egentligen är en faktor.

Finns det några uttryck inom parenteserna som är gemensamma för täljaren och nämnaren och som man därmed kan stryka?

Observera att

ab*cd=a*cb*d 

Nick12 23
Postad: 26 mar 2024 19:42
Bedinsis skrev:
Nick12 skrev närapå:

n+1(n-1)*2!*n-1n+1så här borde det bli

Fixade till det en smula. Dels för att göra det mer korrekt, dels för att du enklare skall kunna se vad som egentligen är en faktor.

Finns det några uttryck inom parenteserna som är gemensamma för täljaren och nämnaren och som man därmed kan stryka?

Observera att

ab*cd=a*cb*d 

Kan jag inte egentligen strycka allt förutom 1/2! då? alltså svar 1/2?

Bedinsis 3359
Postad: 26 mar 2024 20:04

Javisst.

Svara
Close