2
svar
69
visningar
Mur.Osm behöver inte mer hjälp
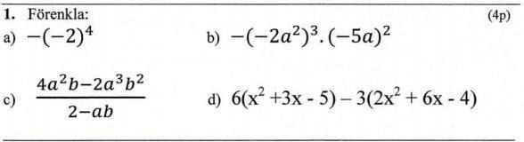
Förenkla följande
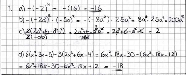
Hej, jag har följande fråga på min gamla tentamen. Jag bifogar även mitt svar nedanför, har jag gjort rätt?

c)Det står 4*a2*b-2*a3*b2 i täljaren
Det står 2-ab i nämnare, inte 2*(-ab)
Övriga korrekta
Just den hade jag problem med, och var väldigt osäker. Tack så mycket.