4
svar
109
visningar
Mariam1999 behöver inte mer hjälp
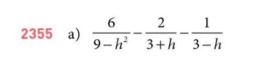
Förenkla följande uttryck.

Fick huvudverk av den här.
Så försökte jag lösa den:
På rätt väg? Känns jätte fel.
Tips 1:
Tips 2: MGN är (3+h)(3-h) se till att alla termer har den nämnaren (genom lämpliga förlängningar)
Du skriver (på ett korrekt sätt) onödigt många minustecken, men annars ser det väl bra ut.
Bubo skrev:Du skriver (på ett korrekt sätt) onödigt många minustecken, men annars ser det väl bra ut.
Den här uppgiften har många steg, men jag klarade det :) Tack
Hej
För andra personer som behöver hjälp med uppgiften kommer ett lösningsförslag här: