8 svar
400 visningar
Anonym82 behöver inte mer hjälp
Anonym82 44 – Fd. Medlem
Postad: 31 okt 2020 16:19

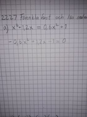
Förenkla först och lös sedan andragradsekvationen

Hej! Kan jag få hjälp med att förenkla denna andragradsekvation?

x2+1,2x = 0,6x2+1

Ska jag dividera alla talen med 0,6? Eller hur borde jag göra. Och om jag flyttar över x^2 till vänstra ledet försvinner inte x^2 då? 

Yngve 42762
Postad: 31 okt 2020 16:24 Redigerad: 31 okt 2020 16:24

Samla alla termer på ena sidan av likhetstecknet.

Förslag:

  1. Subtrahera 0,6x20,6x^2 från båda sidor. Förenkla.
  2. Subtrahera 11 från bpda sidor. Förenkla.
  3. Dividera båda sidor med lämpligt tal. Förenkla.

Visa dina beräkningssteg.

Anonym82 44 – Fd. Medlem
Postad: 31 okt 2020 16:29
Yngve skrev:

Samla alla termer på ena sidan av likhetstecknet.

Förslag:

  1. Subtrahera 0,6x20,6x^2 från båda sidor. Förenkla.
  2. Subtrahera 11 från bpda sidor. Förenkla.
  3. Dividera båda sidor med lämpligt tal. Förenkla.

Visa dina beräkningssteg.

Så? När jag subtraherar 0,6x^2 från vänsterledet också vet jag inte ens vad det blir men jag gissar -0,6x^2, vet inte om de rätt

Yngve 42762
Postad: 31 okt 2020 16:31

Nej det stämmer inte.

x2-0,6x2=0,4x2x^2-0,6x^2=0,4x^2

Förstår du varför? Det är viktigt att du förstår det, annars kommer du att få svårt med liknande uppgifter framöver.

Anonym82 44 – Fd. Medlem
Postad: 31 okt 2020 16:33 Redigerad: 31 okt 2020 16:34
Yngve skrev:

Nej det stämmer inte.

x2-0,6x2=0,4x2x^2-0,6x^2=0,4x^2

Förstår du varför? Det är viktigt att du förstår det, annars kommer du att få svårt med liknande uppgifter framöver.

Nej förstår faktiskt inte :/ Hur blev det 0,4x^2 i högerledet? och vart försvann 1,2x

Yngve 42762
Postad: 31 okt 2020 17:06 Redigerad: 31 okt 2020 19:09

Nej jag skrev inte ut hela ekvationen utan jag försökte bara förtydliga att när du subtraherar 0,6x20,6x^2 från x2x^2 så blir resultatet 0,4x20,4x^2, inte -0,6x2-0,6x^2.

==========

Hela ekvationen ser då ut så här:

x2+1,2x=0,6x2+1x^2+1,2x=0,6x^2+1

Subtrahera 0,6x20,6x^2 från båda sidor:

EDIT - korrigerat skrivfel

x2+1,2x-0,6x2=0,6x2+1-0,6x2x^2+1,2x-0,6x^2=0,6x^2+1-0,6x^2

Förenkla:

0,4x2+1,2x=10,4x^2+1,2x=1

Är du med på att det blir så?

Anonym82 44 – Fd. Medlem
Postad: 31 okt 2020 18:08
Yngve skrev:

Nej jag skrev inte ut hela ekvationen utan jag försökte bara förtydliga att när du subtraherar 0,6x20,6x^2 från x2x^2 så blir resultatet 0,4x20,4x^2, inte -0,6x2-0,6x^2.

==========

Hela ekvationen ser då ut så här:

x2+1,2x=0,6x2+1x^2+1,2x=0,6x^2+1

Subtrahera 0,6x20,6x^2 från båda sidor:

x2+1,2x-0,6x2=9,6x2+1-0,6x2x^2+1,2x-0,6x^2=9,6x^2+1-0,6x^2

Förenkla:

0,4x2+1,2x=10,4x^2+1,2x=1

Är du med på att det blir så?

Jaa nu hänger jag med mer, antar att ''9,6x^2'' som du skrev är ett skrivfel och det egentligen är ''0,6x^2'' Om de är så då hänger jag med :) Men det jag undrar nu är vad mitt nästa steg ska bli om jag ska använda PQ-formeln? Jag borde ng subtrahera 1 från högerledet och vänsterledet, då får jag 0,4x^2 + 1,2x - 1 = 0. Men vad gör jag efteråt? X^2 måste väl ha en 1:a framför sig och inte 0,4? Då är väl mitt nästa steg att dividera med 0,4 kanske...? Vet ej om jag har rätt där

Yngve 42762
Postad: 31 okt 2020 19:07 Redigerad: 31 okt 2020 19:08
Anonym82 skrev:

Jaa nu hänger jag med mer, antar att ''9,6x^2'' som du skrev är ett skrivfel och det egentligen är ''0,6x^2'' Om de är så då hänger jag med :) Men det jag undrar nu är vad mitt nästa steg ska bli om jag ska använda PQ-formeln? Jag borde ng subtrahera 1 från högerledet och vänsterledet, då får jag 0,4x^2 + 1,2x - 1 = 0. Men vad gör jag efteråt? X^2 måste väl ha en 1:a framför sig och inte 0,4? Då är väl mitt nästa steg att dividera med 0,4 kanske...? Vet ej om jag har rätt där

Ja allt du skriver här stämmer 👍

Tack för påpekandet om skrivfelet (har korrigerat nu).

Anonym82 44 – Fd. Medlem
Postad: 31 okt 2020 19:34
Yngve skrev:
Anonym82 skrev:

Jaa nu hänger jag med mer, antar att ''9,6x^2'' som du skrev är ett skrivfel och det egentligen är ''0,6x^2'' Om de är så då hänger jag med :) Men det jag undrar nu är vad mitt nästa steg ska bli om jag ska använda PQ-formeln? Jag borde ng subtrahera 1 från högerledet och vänsterledet, då får jag 0,4x^2 + 1,2x - 1 = 0. Men vad gör jag efteråt? X^2 måste väl ha en 1:a framför sig och inte 0,4? Då är väl mitt nästa steg att dividera med 0,4 kanske...? Vet ej om jag har rätt där

Ja allt du skriver här stämmer 👍

Tack för påpekandet om skrivfelet (har korrigerat nu).

Jag löste precis uppgiften :) Tack för hjälpen!

Svara
Close