10
svar
35
visningar
Förenkla integralen

Är det en god ansats att uppdela integalerna eftersom de har samma övre och undre gräns ?
Det kan du göra, men tveksamt om det underlättar
Vilken tillvägagångsätt skulle du börjat med ?
Börja med att lösa integralen på vanligt sätt.
När det är klart kan du bestämma a.
Kan jag förenkla integranden mha gemensamma nämnare ?
Bäst är att ta primitiv funktion för de två termerna för sig. Det är inte ngn bra idé att sätta allt på ett gemensamt bråkstreck.
primitiv till 1/x hittar du i formelbladet..
primitiv till 1/(x+2) kanske står i formelbladet, om inte kan du lista ut det när du vet vad 1/x har för primitiv funktion.
Är det ln(x+2) ?
Ja, den första termen.
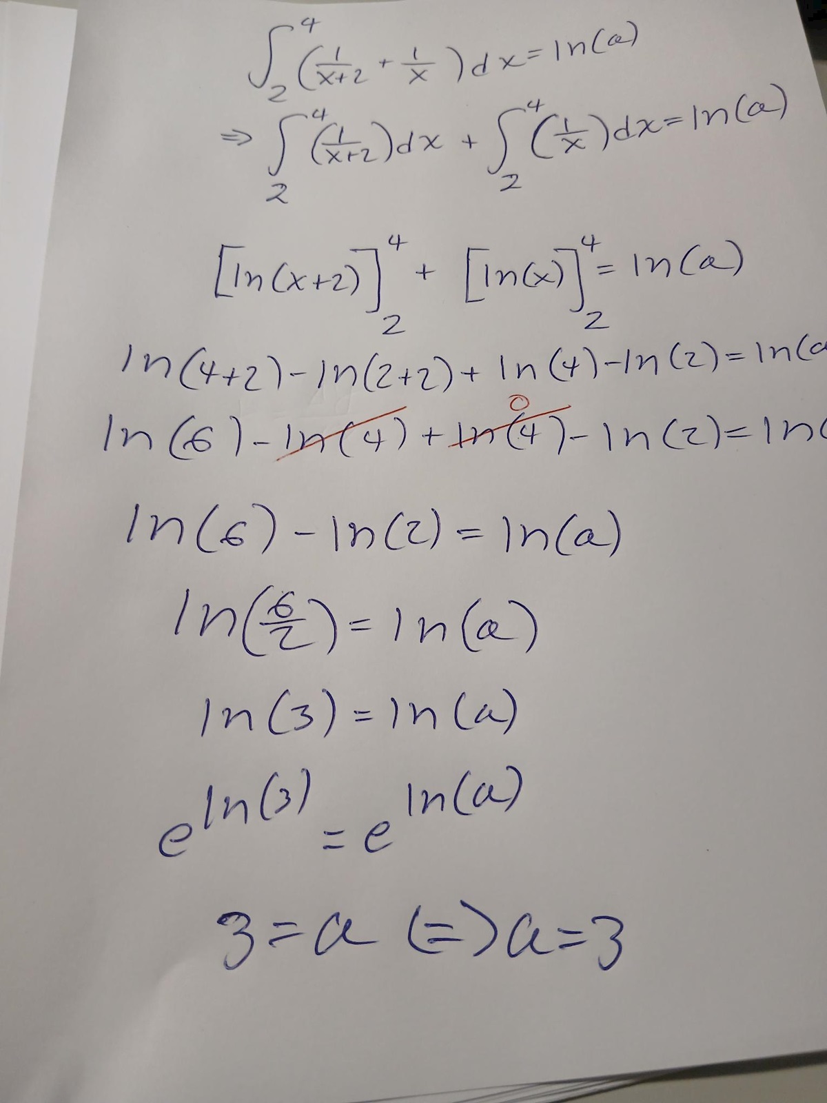
Så här gjorde jag

Perfekt!