1
svar
153
visningar
johannes121 behöver inte mer hjälp
Förenkla komplext bråk
Hej,
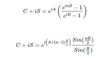
Hur ska jag ta mig vidare för att förenkla följande bråk:
Jag har försökt förenkla med nämnarens konjugat men jag kommer ingen vart. Har ni tips på hur jag kan ta mig vidare?
Anledningen till att frågan uppstått är eftersom att jag inte förstår hur skribenten i följande bild har förenklat mellan raderna. Om någon kan förtydliga med något extra steg skulle det vara mycket tacksamt:

Tack på förhand.
Bryt ut från nämnaren och från täljaren då får du:
Sen med lite Eulers formel så får du ju osv...