2
svar
56
visningar
Hejsan266 behöver inte mer hjälp
Förenkla logaritmfuktioner?
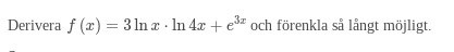
Hej, jag förstår inte hur jag ska förenkla en logaritmfunktion. Jag har heller aldrig gjort det förr eftersom jag är ganska säker på att min lärare sa att min inte fick ändra på det som står inne i in. Detta kanske är en annan sak dock.
Jag har löst uppgiften. men hur förenklar jag detta?

Bryt ut 3/x och fundera på hur du kan använda ln(a)+ln(b)=ln(ab)
Trinity2 skrev:Bryt ut 3/x och fundera på hur du kan använda ln(a)+ln(b)=ln(ab)
Ja, det fungerar. Tack!