Förenkla med hjälp av potenslagarna
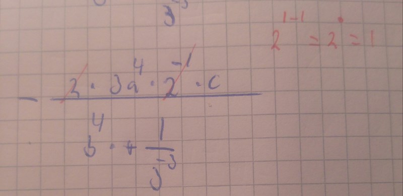
Har försökt för många gånger nu, jag har börjat med parentes-potenserna först och sedan multiplicerat in i parenteserna. Därefter multiplicerat in elementen framför parenteserna. Jag misstänker dock att jag gör något fel här... Precis innan ser bråket ut så här:
Eftersom jag förmodligen gör fel i detta steget så undrar jag hur man går vidare.
Först skulle jag titta på minustecknen och fundera ut om uttrycket blir positive eller negativt. I nästa steg skulle jag sortera alla parenteser så att de har positiv exponent. Därefter skulle jag multiplicera in exponenten in i parenteserna. Vad jag skulle göra sedan beror på hur det ser ut vid det laget.
1PLUS2 skrev :Har försökt för många gånger nu, jag har börjat med parentes-potenserna först och sedan multiplicerat in i parenteserna. Därefter multiplicerat in elementen framför parenteserna. Jag misstänker dock att jag gör något fel här... Precis innan ser bråket ut så här:
Eftersom jag förmodligen gör fel i detta steget så undrar jag hur man går vidare.
Varför misstänker du att du gör något fel?
Det ser rätt ut vid första anblicken. Visa dina uträkningar steg för steg så kan vi hjälpa dig att hitta var det går snett.
jag har tidigare multiplicerat in i täljaren in i den högra parentesen, ska jag göra det till den vänstra med? Eller finns det någon regel som säger något om detta? Jag antar att, om jag hade flyttat på den variabeln framför -6 så hade det inte förändrat uttrycket?
här hamnar jag, vet att det är fel
1PLUS2 skrev :jag har tidigare multiplicerat in i täljaren in i den högra parentesen, ska jag göra det till den vänstra med? Eller finns det någon regel som säger något om detta? Jag antar att, om jag hade flyttat på den variabeln framför -6 så hade det inte förändrat uttrycket?
Nej du ska inte multiplicera in den i båda parenteserna. Hela täljaren är en produkt som består av flera faktorer.
Jämförelse:
Om det står (3)*2*(4) så är det lika med 3*2*4 = 24.
Det är inte lika med (2*3)*(2*4) = (6)*(8) = 48.
Visa dina uträkningar steg för steg så kan vi hjälpa dig att hitta var det går snett.
Hur räknar man ut denna steg för steg?
Tecknet på 2:an är -2 tidigare i uppgiften MEN jag behöver se den som positiv för att det ska funka. Hur kommer det sig?

