Förenkla med potensräkning
Hej
Kan jag få lite vägledning hur jag går vidare med förenkling av potensräkningen eller är uppgiften klar?
Mvh Ulrika

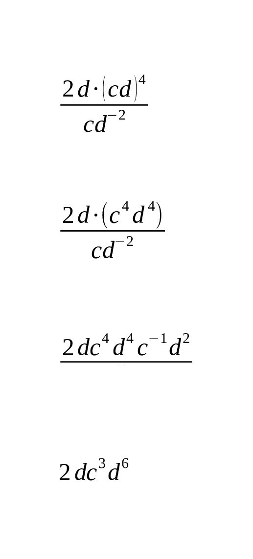
Rad 1 och 2 är rätt.
Rad 3 och framåt är fel.
Det gäller att , vilket innebär att
Använd det på nämnaren.
Hej, **det blir fel redan på första steget. **. Sedan vet jag inte vart du får (-1) i nämnaren i ditt andra steg.
Låt oss börja om, vi har nu , vad är exempelvis om du skriver om det så att den inte är ett bråk? Efter det har du nog allt du behöver för att förenkla bråket. Ge det ett försök och visa dina steg så vi vet vart du fastnar (om du fastnar).
Edit: det som är inom "**" är fel av mig, din första rad stämmer, jag missade att du skrivit ut det som .
Hej
Jag har gjort ett nytt försök med förenkling av potenser.
Går det att para ihop dc och cd med varandra?

Nu är det fel på tredje raden.
Det gäller att och att .
Hej
Har gjort ett nytt försök på potensräkningen. Är lite osäker på om bokstäverna "d" ska slås samman . I så fall blir det 7 d?

Ja det stämmer. Men det blir inte 7 d utan .