2
svar
44
visningar
karisma behöver inte mer hjälp
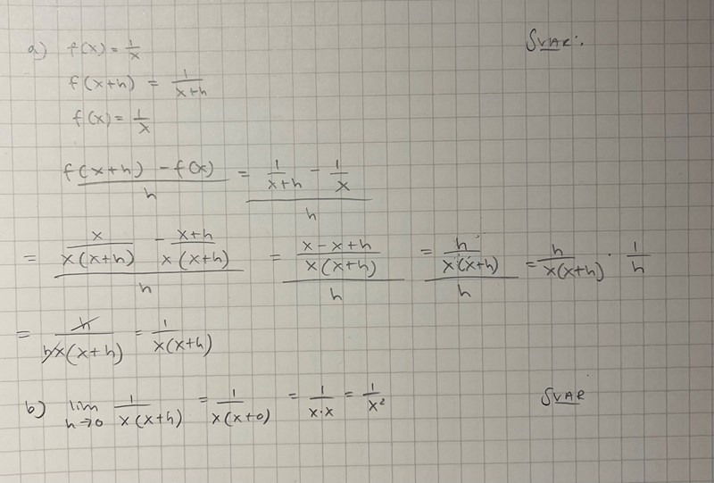
Förenkla och bestäm värdet för funktionen
Hej!
Jag håller på med denna uppgift som du kan se nedan. Jag har fått fram rätt svar förutom att mitt svar är positivt medan facits svar är negativt. Jag undrar hur det kommer sig? Vad är det jag gör för fel?
Tack på förhand!


Du gör fel efter det andra likamed tecknet. Eftersom du inte tar minus framför h.
Juste, det stämmer! Tack för hjälpen!