Förenkla rationella utryck med potenser
Hej!
Jag har klurat på ett par frågor ett tag nu och tror jag lyckats lösa de. Jag skulle behöva hjälp med att förstå om jag har tänkt rätt samt om jag tillämpat respektive regel/lag på rätt sätt, och om inte så skulle jag uppskatta input kring hur jag tänkt fel och vad jag bör tänka på. Tack på förhand.
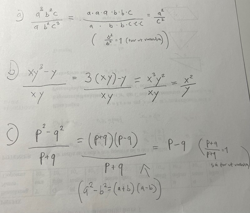
Uppgiften samt uträkningarna:
a och c är rätt, men vad som händer i b förstår jag inte alls.
Jag bröt ut 3an som xy var upphöjt med, för att få samma faktor i nämnare och täljare. Sedan blir det då separat x3 och y3 men eftersom det är - y så blir det y2 och då får jag x3y2 / xy vilket blir x2 / y.
Jag vet att metoden och hur jag pressenterat svaret inte känns 100%, men därför jag också ställer frågan här för jag vill verkligen att detta ska sitta. Jag lär mig nämligen på egen hand utan lärare, så om jag lär mig fel metod i början blir det svårt senare, därför vill jag att det blir rätt i början så att jag framöver använder rätt regler och tekniker för att räkna ut. Säg gärna hur jag bör göra annorlunda.
y3 = y.y.y, det är inte samma sak som 3y = y+y+y.
då borde svaret alltså bli xy2 - y ?
P.J.K skrev:då borde svaret alltså bli xy2 - y ?
Nej, inte riktigt (men du är mycket närmare nu...). Ta inte så stora steg! Visa hur du gör, steg för steg. Det ser ut som om du bryter ut xy, men det blir lite fel.
Jag har svårt att få poletten att trilla ned kring exakt vilka regler jag bör tillämpa. Jag känner att (x*y)a = xa *ya är lämplig men även a2-b2 = (a + b) (a - b)
men vet inte hur jag ska få ihop det i praktiken..
Kan ni vägleda mig kring vilka regler som är lämpliga i detta fall så ska jag försöka lösa om problemet?
Började med att bryta ut y från nämnaren. Vad blir det kvar inuti parentesen?
Hänger inte med..
Kan du bryta ut y ur xy3-y?
genom att faktorisera 3(xy) - y ?
P.J.K skrev:genom att faktorisera 3(xy) - y ?
Du skall faktorisera xy3-y, inte det uttrycket som du skrev.
x*x*x*y*y*y -y / xy = x2y?
Om det ändå inte stämmer så måste det vara något fel i hur jag tänker, antingen så övertänker jag eller så är det så enkelt att det blir svårt.
Vi tar ett enklare exempel: Faktorisera x2-3x.
x (x - 3) ?
Korrekt. Nästa uppgift är att faktorisera x2-x.
x (x-x) ?
Multiplicera in x igen i parentesen! Får du tillbaka samma uttryck? I så fall var det rätt, annars inte.
jag hittar ingen lämplig metod att faktorisera på förutom x*x - x
Kan du hjälpa mig förstå är du snäll?
Vad får du om du multiplicerar ihop x(x-x)? Blir det samma uttryck som du hade från början?
Och låt bli att spamma tråden så förfärligt! Du vet väl att det går att redigera sitt inlägg i två timmar, och lägga till en kommentar även efter det? Det finns ingen anledning att göra tre inlägg i rad, det är bara jobbigt att läsa.
det blir x då x2 - x blir x eftersom x (x-x) blir 0?
Jag ber om ursäkt för spam, var ett tag sedan hade glömt att man kan redigera. Jag ska ha det i åtanke framöver.
Om det är rätt tänkt, menar du då att jag ska faktorisera ut Y:et ur xy3 - y för att på så vis "ta ut" -y:et?
Om jag har tänkt fel, hur ska jag tänka då?
Om jag förenklar x(x-x) får jag x.0 = 0. Det är inte samma som från början.
Vad skall du multiplicera x med för att det fortfarande skall vara ett x?
x (x -1 ) ?
Jag tror jag börjar förstå kring ordinarie frågan xy3 - y ska man faktorisera genom y (xy2-1) ?
Just det, nu har du faktoriserat täljaren. Kan du göra något med nämnaen också?
jag antar att man vill få samma i täljaren så y (x) kanske ?
Ja, och om man förkortar/förenklar så blir det ...
Xy är väll den enklaste formen? går inte att förenkla mer då xy = x * y
men om jag ska faktorisera på något sätt så att jag får bort y:et i täljaren, då kan man säga att svaret blir
xy2-1 ? eller är jag fortfarande ute och cyklar
som möjligen kan skrivas om till y2-1/x.
Då var det nästan som jag tänkte, var bara lite förvirrande med minuset som var svårt att kvittera, men jag lärde mig att man byter ut det till en 1a och att man sedan tar ut y et i täljaren så att man får xy2 - 1 / x, men då är min nästa fråga, kan man inte på samma sätt "ta ut" x i nämnaren med x ur xy2 ? för du säger att man möjligen kan skriva om till y2 - 1 / x men då försvinner ju x ur täljaren utan att delas med något? borde inte x ur nämnare försvinna då i samma veva? tacksam för din hjälp förresten!
Då var det nästan som jag tänkte, var bara lite förvirrande med minuset som var svårt att kvittera, men jag lärde mig att man byter ut det till en 1a och att man sedan tar ut y et i täljaren så att man får xy2 - 1 / x, men då är min nästa fråga, kan man inte på samma sätt "ta ut" x i nämnaren med x ur xy2 ? för du säger att man möjligen kan skriva om till y2 - 1 / x men då försvinner ju x ur täljaren utan att delas med något? borde inte x ur nämnare försvinna då i samma veva? tacksam för din hjälp förresten!
så man kan säga att x försvinner ur nämnaren i första termen - det förkortas bort mot x i täljaren.
Vad händer med -1 då? vi hade ju xy2 - 1 / x.
Nej, vi hade inte , utan ,dvs (xy2-1)/x. Det är stor skillnad!
Är det inte samma som jag skrev? haha
så om jag förstått rätt nu vad är det slutgiltiga svaret? Du skrev först y2 - 1 / x men sedan xy2/x =x/x y2 = 1·y2 = y2
Blev lite förvirrad
Man kan dela upp uttrycket i två termer och förenkla dem var för sig: (eller rättare sagt, det är bara en av termerna som kan förenklas).