Förenkla rationella uttryck
Hej
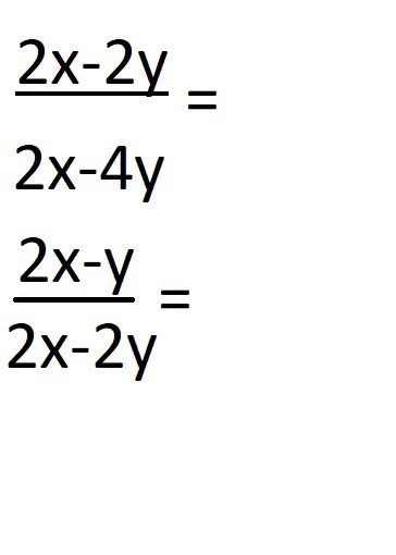
Jag ska förenkla uttrycket så långt det går. Hur går jag vidare sedan?
Annali skrev:Hej
Jag ska förenkla uttrycket så långt det går. Hur går jag vidare sedan?
Skall det vara samma uttryck på båda raderna? I så fall är det fel. Du kan bryta ut faktorn 2 i täljare och nämnare i det översta uttrycket och förkorta bort det. Det nedre uttrycket går inte att förkorta (om man inte vill ha bråk som koefficienter, och det brukar man helst undvika).
Annali, det är inte så att du har "förkortat" bort 2 i y-termerna?
Det går inte. Det är bara faktorer som är gemensamma för täljare och nämnare som kan förkortas bort.
Alltså tal eller uttryck som är multiplicerade med resten av täljaren/nämnaren.
är inte detsamma som .
Efter att ha brutit ut 2 i täljare och nämnare som Smaragdalena skrev har du 2 som faktorer som kan förkortas bort.
Hänger inte riktigt med. Men jag tänker så här.. Går det att förenkla längre?
Så svaret på min första fråga är ja.
2:orna du stryker är inte faktorer i täljare/nämnare och därför kan de inte förkortas bort.
Är du inte med på att inte är detsamma som ? (Första bråket = 3/5, andra = 2/3.)
Förkortning kan uppfattas som att du dividerar täljare och nämnare med samma tal (faktorn du vill ha bort).
Om du här dividerar med 2 måste du dividera hela täljaren och hela nämnaren med 2.
Du dividerade bara ena termen i täljaren och ena termen i nämnaren.
Att dividera hela täljaren och hela nämnaren med 2 funkar här.
Du får som är samma som att först bryta ut 2 i täljare och nämnare:
och sedan förkorta bort 2:an (som nu är faktor i täljaren/nämnaren).