3 svar
81 visningar
halloyciao behöver inte mer hjälp
halloyciao 6
Postad: 2 okt 2023 18:52

Förenkla rationella uttryck

28 b) försökte jag lösa i en timme nu, jag vet inte hur jag ska gå tillväga. Ska jag ens hitta gemensamma nämnare? Kan någon förklara hur man ska ens göra? Är osäker på varje steg i uppgiften. 

Facit: (y-x)/xy2

Yngve 42408
Postad: 2 okt 2023 19:02 Redigerad: 2 okt 2023 19:05

Hej.

Börja med att sätta täljarens termer (1x2-1y2\frac{1}{x^2}-\frac{1}{y^2}) på gemensamt bråkstreck.

Använd sedan räkneregeln abcd=ab·dc\frac{\frac{a}{b}}{\frac{c}{d}}=\frac{a}{b}\cdot\frac{d}{c} och förenkla.

Se upp om du förkortar med något uttryck som kan anta värdet 0.

Om du kör fast

Det finns ett ställe där du behöver använda konjugatregeln.

 

halloyciao 6
Postad: 2 okt 2023 19:21
Yngve skrev:

Hej.

Börja med att sätta täljarens termer (1x2-1y2\frac{1}{x^2}-\frac{1}{y^2}) på gemensamt bråkstreck.

Använd sedan räkneregeln abcd=ab·dc\frac{\frac{a}{b}}{\frac{c}{d}}=\frac{a}{b}\cdot\frac{d}{c} och förenkla.

Se upp om du förkortar med något uttryck som kan anta värdet 0.

Om du kör fast

Det finns ett ställe där du behöver använda konjugatregeln.

 

Jo jag testade det, men jag kommer fortfarande ingenstans...

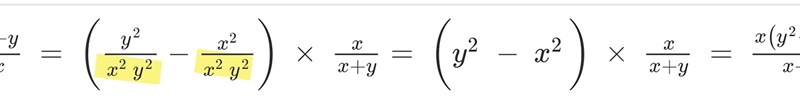
Jag tänkte

(1x2- 1y2) / x+yx = (y2x2 y2-x2x2 y2) × xx+y= (y2 - x2 ) × xx+y = x(y2-x2 )x+y= x(y-x)(y+x)x+y=xy-x2

Nu vet jag inte hur och var jag krånglade till det...

Yngve 42408
Postad: 2 okt 2023 19:58

Bra början med gemensam nämnare, men sedan tappade du bort den nämnaren (gulmarkerad):

Svara
Close