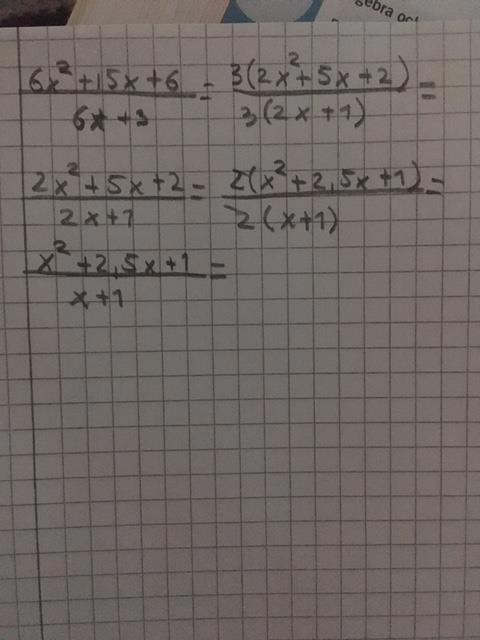
Förenkla rationellt uttryck
Jag vill förenkla det rationella uttrycket men får det inte till.

Jag tänker att nästa steg har att göra med första kvadreringregeln men det blir inte rätt när jag försöker med den.
Är jag ute och cyklar?
Jag skulle dela täljaren med 6 och använda pq-formeln. Kvadreringsreglerna fungerar inte, efterom det inte är en kvadrat.
Din fjärde nämnare är felaktig
Se ovan.
Skulle någon vilja visa exakt hur ni skulle göra? Kanske förstår om jag ser det
Jag skulle först förenkla som du gjorde genom att faktorisera 3 från både täljaren och nämnaren. Sen blir det och jag själv skulle försöka faktorisera nämnaren från täljaren genom följande uppställning: i det här fallet och sen hitta p så att .
Liggande stolen föreslår jag. (Jag har en annan metod också.)
Prova alltid enkla lösningar, innan du gör något annat. Vad händer när man provar:
(2x+1)(x+2)=.....