1 svar
83 visningar
Skepnad behöver inte mer hjälp
Skepnad 74
Postad: 19 okt 2023 15:00 Redigerad: 19 okt 2023 15:29

Förenkla rationellt uttryck. Förstår ej var siffror kommer ifrån

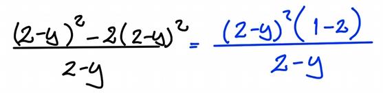
Hej. Sitter fast på det rationella talet som ska förenklas så långt som möjligt:
Jag har försökt bryta ut (2-y)^2 vilket verkar vara rätt, men sedan tar det stopp för mig, då jag verkar tappa något på vägen.

Jag får det till (2-y)^2 - ((2-y)^2 -2) Vilket jag är helt medveten om att det blir fel, men jag förstår ej varför.

Enligt "Fredrik Lindmark" på Youtube så ser nästa steg ut som följande: (Länk till videon: https://www.youtube.com/watch?v=07bUb6EGf1g&ab_channel=FredrikLindmark)
Jag förstår inte var ettan kommer ifrån. Fredrik nämner: "Vad blir kvar här då? Jo här blir det en etta" medans han pekar på (2-y)^2 i första ledet.

Jag försöker nu tänka att (2-y)^2=a och -2=b och får då: a-ba.
Men sen stannar det av, jag vet liksom inte hur steget ser ut för att få rätt "tänk".

Jag försöker använda mig av distrubitionslagarna, men de innehåller vad jag vet alltid 3olika variabler. I detta fall har jag bara 2 variabler. Någon som har något tips på hur jag kan tänka?

MVH

Edit: Känner mig riktigt trög, eftersom jag ser lösningen framför mig. Men ändå inte verkar kunna slå mitt huvud runt hur man ska tänka. Tack för eventuellt tålamod för den som orkar försöka förklara.
Det är bara något som inte klickar för mig...

Edit #2: Tror något klickade tillslut på egen hand. Lite oklart än så länge, men förhoppningsvis så går de bättre på nästa uppgift.

MrPotatohead 8164 – Moderator
Postad: 19 okt 2023 15:36 Redigerad: 19 okt 2023 15:37

Jag försöker nu tänka att (2-y)^2=a och -2=b och får då: a-ba.

Du kan inte sätta b=-2 OCH ha a-ba. Antingen b=2 och a-ba eller b=-2 och a+ba.


Men sen stannar det av, jag vet liksom inte hur steget ser ut för att få rätt "tänk".

Om du bryter a ur a-ba får du a(1-b). Om du sätter in dina uttryck för a och b får ju Fredriks svar. 

Svara
Close