förenkla så långt som möjligt.
jag får det inte till rätt svar. det blir en massa decimaltal när jag löser den. 1134 a)
Att du kan förkorta med två borde vara självklart. Kvar får du då
Kan du faktorisera täljaren? Visst vore det skönt om du kunde få en faktor (a-3) där också som du kan förkorta bort?
Då kanske du försöker förenkla längre än det går. Visa hur du gör.
Bilden är både suddig och mörk. Står det ?
japp du har sett rätt
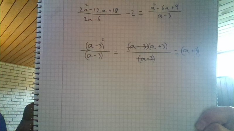
så här långt kom jag när jag testade igen men jag fick + istället för -
Nja, varför blev det så? (x-3)2 är ju (x-3)(x-3).
Leonard Dieck skrev:japp du har sett rätt
så här långt kom jag när jag testade igen men jag fick + istället för -
När du ska faktorisera ett sådant andragradsuttryck.
Då kan du ta reda på nollställena. (Inte så kort process, skippar att visa det om inte du vill veta, mycket pricksäker metod)
Du kan annars gissa dig fram litegrann. Första termen är Om uttrycket kan faktoriseras bör vi ha:
Anledningen till att det ska vara minus i båda parenteserna är pågrund av hur kvadreringsreglerna fungerar:
Ditt uttryck ser likadant ut.
Du ska multiplicera de två okända talen och få 18, det kan vara några stycken. Men testa litegrann.
tack så mycket för hjälpen!!!