Förenkla uttryck! đ§ź
Hej!
Ăr lösningen stĂ€mmer??
tack för svar .

Har inte kollat pÄ B men A har du iaf gjort rÀtt pÄ.
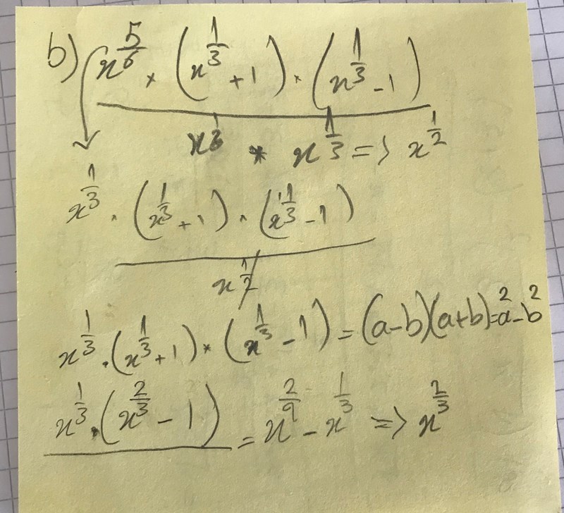
b) har du skrivit fel! anvÀnd appen photomath, sÄ kan du se varför :)
PÄ a-uppgiften har du förkortat med 2 för tidigt. W ör inte en gemensam faktor i tÀljaren (Ànnu). Att du ÀndÄ fick rÀtt svar ÀndÄ Àr bara en tillfÀllighet.

PÄ b-uppgiften förkortar du felaktigt (inringat i rött).
Sedan anvÀnder du konjugatregeln fel (överkryssat i rött).

pÄ A uppgiften dÀr han förkortar med 2 antar jag att han tÀnkte:
Yngve skrev:PÄ a-uppgiften har du förkortat med 2 för tidigt. W ör inte en gemensam faktor i tÀljaren (Ànnu). Att du ÀndÄ fick rÀtt svar ÀndÄ Àr bara en tillfÀllighet.
PÄ b-uppgiften förkortar du felaktigt (inringat i rött).
Sedan anvÀnder du konjugatregeln fel (överkryssat i rött).
Hej,
Jag har redigerat det , men vet inte om det Àr stÀmmer!

Det Àr rÀtt fram till slutet, men , inte .
DÀrför Àr