6
svar
187
visningar
Katarina149 behöver inte mer hjälp
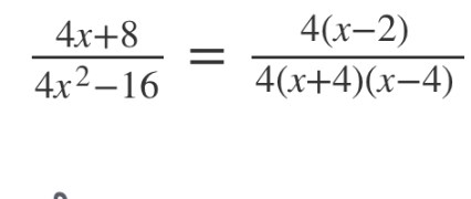
Förenkla uttryck
Vart är felet i min uträkning? Jag får att x=odefinierat
vkt är fel enligt facit

Är verkligen
Katarina149 skrev:
Vart är felet i min uträkning? ...
Felet är här. Bryt ut 4 och förkorta bort det första, istället.
Är det rätt nu?
Varför försvinner -16 i fjärde sista steget?
x^2-16=x^2-4x+4
-16=-4x+4
-20=-4x
x=5
Ser rätt ut nu!