Förenkla uttryck
Hej!
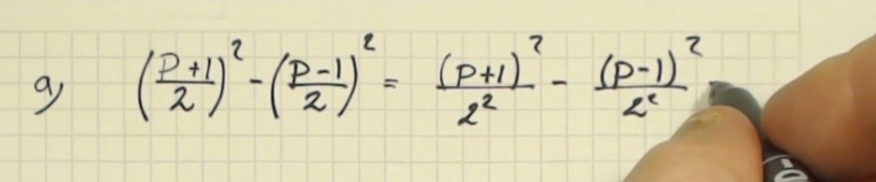
Jag sitter med en uppgift och har tagit hjälp av ett youtube klipp, jag är med på noterna nästan fullt ut men behöver ett förtydligande vad det är han gör indet första steget då han gör om 2 till 2². Förstår att det då blir en gemensam nämnare och att allt då blir lättare. Men kan man alltid göra så? Säg att det hade stått 3 hade det då blivit 3²? Eller säg att det hade stått nåt med en variabel i nämnaren låt säga 2+x hur hade det då blivit?
Han drlar ut exponenten. Det är en potenslag som säger att
Det är en förenkling
Kan du förklara för mig hur jag ska tänka om jag ska använda mig av den potenslagen i det här fallet? Har svårt för att se hur den lämpar sig för den här ekvationen
Aaa! Förenkling! Då är jag mer på g att förstå