4
svar
73
visningar
Kem018 behöver inte mer hjälp
Förenkla uttryck
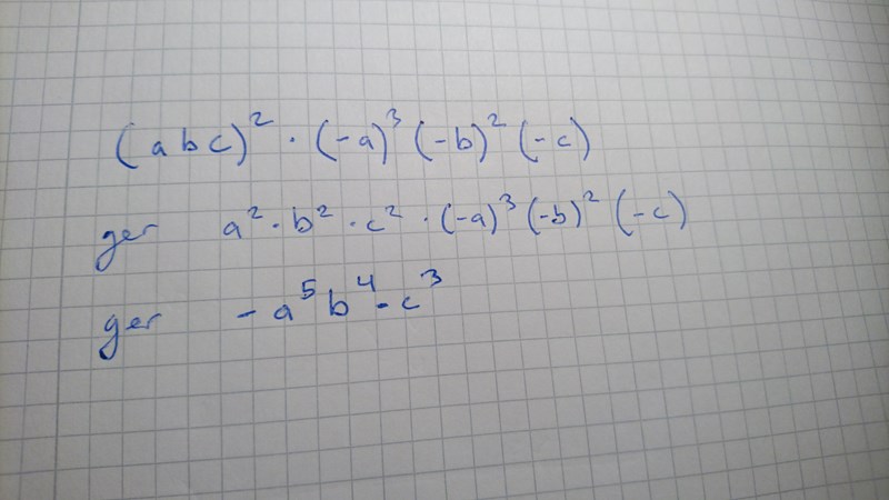
Gällande följande uttryck verkar jag inte få till plus och minus som det sig bör. Svaret blir inte rätt, så här har jag tänkt:

Om man bara kollar på tecknet:
Ser rätt ut så långt men du har ett steg kvar. Du är inte färdig när du har ett minustecken mitt i sådär!
Vad blir ?
Alternativt:
Tack för hjälpen!