8
svar
105
visningar
Stainlesssteel behöver inte mer hjälp
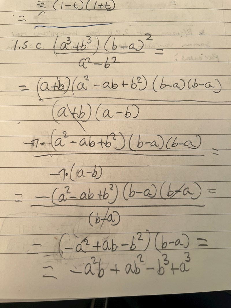
Förenkla uttryck
vart nånstans har jag gjort fel? 
Hej.
Bra början, men det fattas två termer på sista raden.
Kolla allra sista parentesmultiplikationen. Misstänker ngt teckenfel
Blir sista raden kubregeln baklänges? Vilket tecken tänker du på ?
Enligt facit blir det a^3 + 2a^2b -2ab^2 - b^3
undrar hur dom fick fram dom tvåan framför dom två mittersta termerna
Sista raden ska bestå av 6 termer.
Du har glömt att multiplicera ab med -a och -b2 med -a
Oj! Såg det precis! Svaret blir fel eftersom att jag glömde multiplicera alla termer! Tack så mycket!
Hur kan jag gå vidare här ? 
En fråga per tråd.
Skapa en ny tråd för din nya fråga.