1
svar
75
visningar
Förenkla uttryck
Hejsan
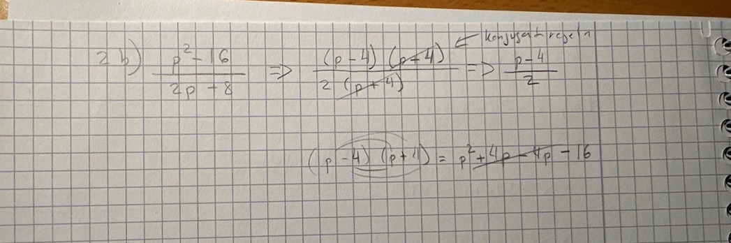
jag funderar kring om man kan förenkla ytterligare eller om det blir för då

Det ser bra ut.
(p-4)/2 är enkelt och snyggt. Så bra det kan bli, tycker jag.