1
svar
220
visningar
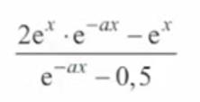
Förenkla uttryck


Följde en video på ett gammalt NP och förstår inte riktigt hur man kan faktorisera täljaren på detta sätt. Hur är e^x*e^-ax=e^-ax?
EndGD skrev:
[...]
Hur är e^x*e^-ax=e^-ax?
Det är det inte.
=======
Det de gör är att de bryter ut faktorn I täljaren.
Det blir väldigt mycket tydligare om man tillfälligt ersätter med och med .
Täljaren kan då skrivas , vilket kan skrivas som , vilket kan faktoriseras som .
Byt nu tillbaka från till och från till så får du just det den faktorisering du undrade över.