3 svar
314 visningar
CirujanaZ behöver inte mer hjälp
CirujanaZ 459
Postad: 21 maj 2025 00:13

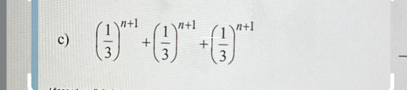
Förenkla uttryck så långt som möjligt

hej! 
har denna uttryck som jag ska förenkla 

så långt kom jag, vad är nästa steg?

Yngve 42666
Postad: 21 maj 2025 00:17 Redigerad: 21 maj 2025 00:18

Jättebra början.

Leta nu i formelbladet efter en lämplig potenslag.

Tips: Du kan skriva täljaren som 31

CirujanaZ 459
Postad: 21 maj 2025 00:21

Okejj! 
Löste den nu och fick svaret 3^-n 
tack!

Yngve 42666
Postad: 21 maj 2025 00:22

Bra!

Du var ju nästan framme vid målet helt på egen hand.

Svara
Close