3 svar
149 visningar
Mearrow behöver inte mer hjälp
Mearrow 13 – Fd. Medlem
Postad: 16 apr 2022 18:41

Förenkla uttrycken, förstår ej skillnaden mellan mitt och bokens svar.

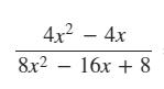
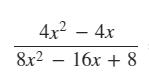
Uppgiften; Förenkla uttrycket.
Jag kom fram till svaret x2x-2men enligt boken är det fel, och svaret är x2(x-1)
Jag förstår inte direkt skillnaden, eller varför 2(x-1) är mer förenklat än 2x-2. I mitt huvud ser jag inte hur faktoriseringen av 2, förenklar talet. 

Korra 3888
Postad: 16 apr 2022 18:47 Redigerad: 16 apr 2022 18:48
Mearrow skrev:

Uppgiften; Förenkla uttrycket.
Jag kom fram till svaret x2x-2men enligt boken är det fel, och svaret är x2(x-1)
Jag förstår inte direkt skillnaden, eller varför 2(x-1) är mer förenklat än 2x-2. I mitt huvud ser jag inte hur faktoriseringen av 2, förenklar talet. 

x2x-2=x2(x-1)
Jag tycker det är korrekt hur det än står. 

Dr. G 9634
Postad: 16 apr 2022 18:48

Både du och facit har rätt. 

Ibland det inte självklart vad "förenkla" innebär. 

Mearrow 13 – Fd. Medlem
Postad: 16 apr 2022 19:04

Okej, tack!
Jag använder en online bok så den accepterade endast "2(x-1) formatet, så det var därför jag undrade. 

Svara
Close