Förenkla uttrycket
Hej!
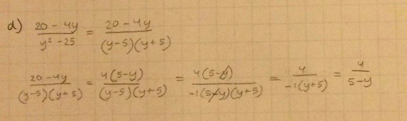
Nedan kan du se ett uttryck jag ska förenkla. Nedan kan du även se min ansats. Jag undrar varför mitt svar blev fel? I facit så står det att svaret ska bli 4/y+5 och inte 4/5-y.
Tack på förhand!

Du ka förkorta med (5 – y) i andra steget på sista raden.
Tänk på att 5 – y = – (y – 5).
Och det verkar du ha gjort.
Då kommer du till - 4 / (y + 5).
Hur tänkte du i sista steget?
Nä, jag förkortade inte 5-y till -(y+5), utan jag förkortade y-5 till -(5-y), som du kan se i nämnaren.
Jag tänkte att eftersom det stod -1 i nämnaren framför (y+5) så blir svaret 1/(-y - 5), så ignorera 1/5-y som jag skrev på bilden, menar egentligen 1/(-y - 5), men det är ju ändå också fel.
Vad händer med 4an i täljaren?
Dracaena skrev:Vad händer med 4an i täljaren?
Vad menar du? Den är ju kvar där. Jag har endast skrivit om uttrycket i nämnaren, inte ändrat på dess värde.
Nej, du har inte skrivit om nämnaren - du har ändrat nämnaren.
-1*(5+y) blir -y-5, inte -y+5
Ja, men det är ju det jag skriver i #3
Nej, du sa:
karisma skrev:
menar egentligen 1/(-y - 5), men det är ju ändå också fel.
Och, ja, detta är fel.
Svaret är
Varav jag frågade i inlägg #4:
Dracaena skrev:
Vad händer med 4an i täljaren?
Det var så länge sen jag gjorde den uppgiften och jag har hunnit göra flera uppgifter efter den så nu minns jag inte själv hur jag tänkte och orkar inte riktigt sätta mig in i min uträkning igen, så jag bara började om från början, och då kom jag fram till rätt svar. Men tack för hjälpen ändå!