4 svar
70 visningar
karisma behöver inte mer hjälp
karisma 1983
Postad: 7 maj 2023 13:05

Förenkla uttrycket

Hej!

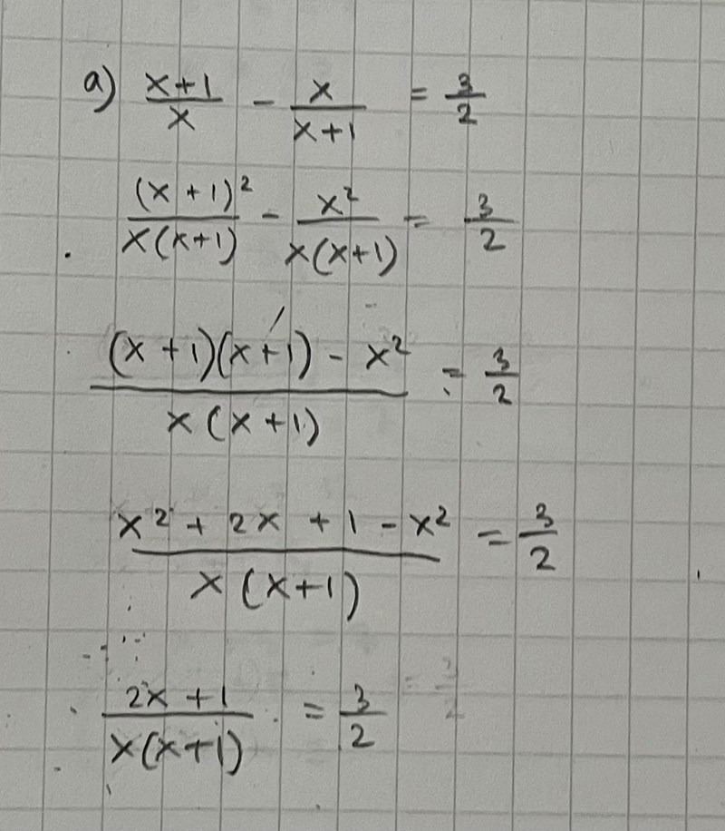
Jag håller på med a) uppgiften som du kan se nedan. Jag har kommit så här långt (se bilden nedan). Jag undrar hur jag ska gå vidare för att få fram x? 

Tack på förhand!

Bedinsis 3335
Postad: 7 maj 2023 13:10

Steg 1: Multiplicera såväl högerled som vänsterled med 2 för att bli av med nämnaren i högerledet.

Steg 2: Multiplicera såväl högerled som vänsterled med x(x+1) för att bli av med nämnaren i vänsterledet.

karisma 1983
Postad: 7 maj 2023 13:27

Jag gjorde så tidigare men kom inte vidare, så jag trodde att jag hade gjort fel, men nu har jag gjort det igen. Jag kommer fortfarande inte vidare.

Bedinsis 3335
Postad: 7 maj 2023 13:30

Subtrahera båda sidorna med 3x2.

Dividera därefter båda sidorna med -3.

Då har du en andragradsfunktion du skall hitta nollställen till.

PQ-formeln kan då komma väl till hands.

karisma 1983
Postad: 7 maj 2023 13:32 Redigerad: 7 maj 2023 13:32

Så dum jag är! Såklart man gör så! Hur kunde jag inte se det…

Svara
Close