Förenkla uttrycket

Uttrycket kan lösas enligt konjugatregelns formel
Låt vara
Låt vara
Uttrycket blir således
Med dina a och b blir det ursprungliga uttrycket ab, som konjugatregeln inte kan hjälpa oss med.
Skriv ut konjugatregeln.
Det ursprungliga uttrycket är en produkt av två parenteser.
Vilket led i konjugatregeln innehåller en produkt?
Kan du hitta vad du ska kalla a och b för att det ska passa in på konjugatregeln?
Louis skrev:Med dina a och b blir det ursprungliga uttrycket ab, som konjugatregeln inte kan hjälpa oss med.
Skriv ut konjugatregeln.
Det ursprungliga uttrycket är en produkt av två parenteser.
Vilket led i konjugatregeln innehåller en produkt?
Kan du hitta vad du ska kalla a och b för att det ska passa in på konjugatregeln?

Uttrycket som du skrev i #1 ("Uttrycket blir således") är inte lika med det ursprungliga uttrycket.
Och du måste hitta andra a och b.
Konjugatregeln säger
(a + b)(a - b) = a2 - b2
Jämför vänstersidan med
Kan du se vilken del av uttrycket som vi kan kalla a och vilken del som vi kan kalla b
för att det ska kunna skrivas (a + b)(a - b)?
Som sedan är lika med a2 - b2.
Louis skrev:Uttrycket som du skrev i #1 ("Uttrycket blir således") är inte lika med det ursprungliga uttrycket.
Och du måste hitta andra a och b.Konjugatregeln säger
(a + b)(a - b) = a2 - b2
Jämför vänstersidan med
Kan du se vilken del av uttrycket som vi kan kalla a och vilken del som vi kan kalla b
för att det ska kunna skrivas (a + b)(a - b)?
Som sedan är lika med a2 - b2.
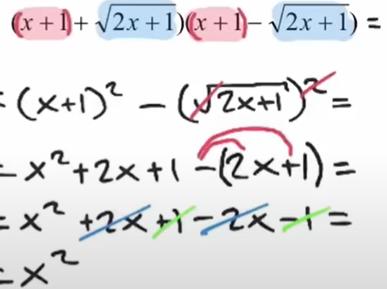
ok
Svar:
Mycket tydligt och bra!
Louis skrev:Mycket tydligt och bra!
Tack för hjälpen!
