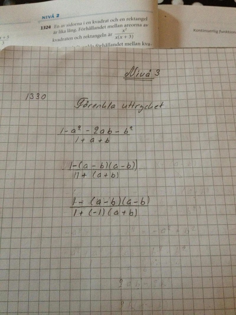
Förenkla uttrycket.

Visar kort från boken och visar att jag har börjat, men har provat flera olika sätt tidigare och står fast på uppgiften.
Du behöver börja med att skriva om till . Sedan använder du först första kvadreringsregeln på parentesen, och sedan konjugatregeln på hela täljaren. Sedan ser du nog lösningen själv.
Nu undrar jag, var kommer konjugatet in mitt i allt? Jag gjorde så som Du Magdalena sa och det blir så, men det här konjugatet. Hur kan man se det mitt i allt?
Päivi skrev :Visar kort från boken och visar att jag har börjat, men
Det är teckenfel i täljaren. Termen 2ab får fel tecken från rad 1 till rad 2.
Det är teckenfel i nämnaren. Termen(a+b) får fel tecken från rad 2till rad 3.
Jo, det förstår jag, men nu är jag ändå frågande om konjugatet där.
Sätter man så som Magdalena sa som jag också är riktigt. 1- (a^2+2ab+ b^2)/1+(a+b)
hur man av första parentesen ex till konjugat. Det undrar jag.
Så fort man ser en kvadrat minus en annan kvadrat...
Där är flera fel. Kontrollera.
Nu kom jag på det här.
Du kan inte förkorta på det sättet du har gjort, du måste använda konjugatregeln först.
Varifrån kommer konjugatet då?
Skriv täljaren som 1 - (a + b)^2.
Detta är ett standardmönster inom matematiken. Ser det bekant ut?
----------
Om inte - kalla (a + b) för c och skriv om täljaren med hjälp av c istället.
Första uttrycket förstår jag, men varifrån kommer konjugatet?
Kan inte hjälpa.
Päivi skrev :Första uttrycket förstår jag, men varifrån kommer konjugatet?
Gör bara som jag tipsade om.
Täljaren är 1 - (a + b)^2.
Sätt nu c = a + b och byt alltså ut (a + b) mot c.
Hur ser täljaren då ut?
c= a+ b
a+ b= a+b
Täljaren är . Känner du igen konjugatregeln?
Päivi skrev :c= a+ b
a+ b= a+b
Ja men det var inte det jag bad dig göra.
EDIT - skrev fel tecken i täljaren.
Täljaren är 1 + (a + b)^2
.Täljaren är 1 - (a + b)^2
Jag bad dig att ersätta (a + b) med c i täljaren. Kan du göra det?
Päivi skrev :
Precis!
Ser du att du har använt konjugatregeln i täljaren?
Jag ville få dig att se mönstret x^2 - y^2 i täljaren som var 1 - (a + b)^2.
(Jag skrev fel tecken tidigare, har redigerat det nu)
Hej!
Täljaren kan skrivas
Med hjälp av Konjugatregeln kan uttrycket faktoriseras.
Eftersom kvotens nämnare är så kan kvoten förenklas till
Albiki
Jag började fundera lite åt det hållet fast det inte blev rätt då heller. Då förstår jag det. Tack Albiki! Det vad bra gjort av Dig.
