Förenkla uttrycket
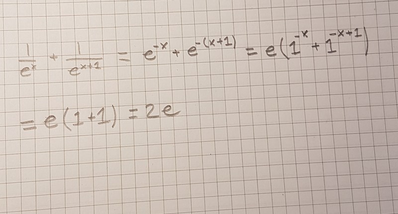
Känns som att felet blir när jag bryter ut e(?) , men hur ska man göra ?

poijjan skrev:
Känns som att felet blir när jag bryter ut e(?) , men hur ska man göra ?
Ja. Precis som t.ex. så gäller att .
(Dessutom gäller inte att )
Bryt istället ut
Yngve skrev:poijjan skrev:
Känns som att felet blir när jag bryter ut e(?) , men hur ska man göra ?
(Dessutom gäller inte att )
Det gör det väl?
Laguna skrev:Yngve skrev:
...
(Dessutom gäller inte att )
Det gör det väl?
Ja det har du rätt i.
Vet inte hur jag tänkte där. Antagligen inte.
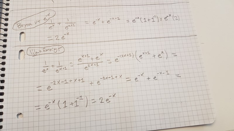
Har du provat att göra liknämnigt?
Yngve skrev:poijjan skrev:
Känns som att felet blir när jag bryter ut e(?) , men hur ska man göra ?
Ja. Precis som t.ex. så gäller att .
(Dessutom gäller inte att )
Bryt istället ut
Har testat att bryta ut e^(-x) samt..
dr_lund skrev:Har du provat att göra liknämnigt?
Testat detta, blev en lite mer grundlig variant av ovan förslag .
Men jag lyckas ändå inte få till det

Nja, minsta gemensam nämnare MGN: . Du verkar jobba med största gemensam nämnare.
Gör nu så att de två delbråken kan skrivas som ett bråk med minsta gemensam nämnare.
Vad får du?
Jag tycker att det enklaste sättet är att skriva om ex+1 i den andra nämnaren till exe innan man bryter ut något.
dr_lund skrev:Nja, minsta gemensam nämnare MGN: . Du verkar jobba med största gemensam nämnare.
Gör nu så att de två delbråken kan skrivas som ett bråk med minsta gemensam nämnare.
Vad får du?
Gracias! Missar ofta detta, nu fick jag till det!
Smaragdalena skrev:Jag tycker att det enklaste sättet är att skriva om ex+1 i den andra nämnaren till exe innan man bryter ut något.
Bra tips, nu ser jag varför det blev fel i första försöken att bryta ut e