3
svar
106
visningar
Renny19900 behöver inte mer hjälp
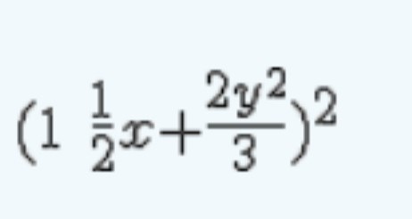
Förenkla uttrycket
Jag förenklar med hjälp av kvadreringsregler :
3x/2 = a
(2y^2)/3 =b
jag sätter in à och b enligt kvadreringsreglerna ->
Är det rätt tänkt?
Ja, det är rätt. Men det går att förenkla ytterligare.
Ja, man kan multiplicera 3x med (2y^2)/3 då får man x*2y^2