4
svar
137
visningar
Noawoh behöver inte mer hjälp
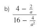
Förenkla uttrycket (division av bråk)

Hej, har jag gjort fel i mina beräkningar? För svaret blir fel..
Tack i förhand!

Vad ska svaret vara då?
Vad står det i facit?
säger facit
Jaha, det var bara att man skulle förlänga med a så att man inte fick ett bråk i nämnaren..