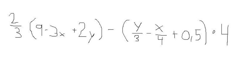
Förenkla uttrycket
Hejsan. Jag börjat läsa matte 2b hemma för att fräscha upp minnet inför kommande studier.
Har fastnat på en uppgift och tänkte se om man kunde få lite hjälp här med att lösa den samt en förklaring på hur man räknar.

Enklast är nog att multiplicera ut parenteserna och samla ihop termer av samma sort, dvs x för sig, y för sig, och de utan x och y för sig. Sen kan man eventuella städa upp bråken om det blir några kvar.
Redigerat: @mattekalle påpekade fel tecken på 0.5 i parentesen nedan -- fixat nu.
Multiplicera in i parenteser
städa bråken och sätt x och y till höger så man får de på samma form
förkorta bråken där det går
dumpa parentesen (vänd tecken rätt)
Lägg märke till att y försvinner, lägg sen ihop x och konstant-termer (som inte har x eller y i sig)
Känns det begripligt?
Byt ut - 0.5 mot + 0.5 i första raden.