Förenkla uttrycket så långt det går
Hej!
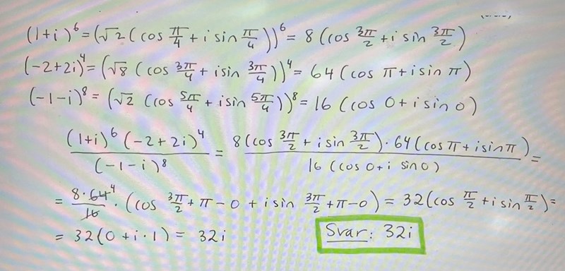
Jag gjorde nyss uppgiften nedan. Jag kom nästan fram till rätt svar. Jag fick -32i medan det korrekta svaret blev 32i. Jag kollade därför lösningsförslaget för att se vad som blev fel och då såg jag att dem hade skrivit att (-2+2i)4 = 64 = , medan jag kom fram till att det blev -64, (då cos (3pi) = -1) se min lösning nedan. Jag undrar vad för fel jag har gjort?
Tack på förhand!


Hej.
Det stämmer att (-2+2i)4 = -64.
Hur ser det ut i lösningsförslaget?
Yngve skrev:Hej.
Det stämmer att (-2+2i)4 = -64.
Hur ser det ut i lösningsförslaget?
Tänkte väll det! Så här ser det ut:

Däremot har du räknat fel på (1+i)6
Och även på (-1-i)8
Yngve skrev:Däremot har du räknat fel på (1+i)6
Vad är felet där?
Yngve skrev:Och även på (-1-i)8
Och vad vart fel där?