14
svar
224
visningar
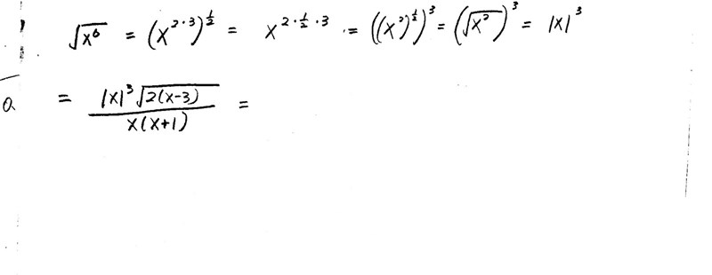
du kan fortfarande förenkla med att bryta ut x ur roten i täljaren
Men det ska egentligen blir:
.jpg?width=800&upscale=false)
Så tänker jag. Kanske något jag missat? Vad är det för text du infogat ovan?
det måste vara ett absoluttecken runt x eftersom vi inte vet om det är positivt eller negativt
Hej, kan ni ser dessa bilden som jag har infogat?
Inte 13:54.
14:06 har en bild.
Laguna skrev:Inte 13:54.
14:06 har en bild.
Men båda bilderna har exakt samma format, och jag har infogat dem på exakt samma sätt.
Kan ni ser bilden 18:03 ??
Det är samma bilden i tidpunkten 13:45
Ja, 18:03 har en bild.
Nea-27 skrev:det måste vara ett absoluttecken runt x eftersom vi inte vet om det är positivt eller negativt
För att |x|2 = x2.
.jpg?width=800&upscale=false)
.jpg?width=800&upscale=false)