förenkla uttrycket så långt som möjligt

men svaret enligt facit är
och jag får samma svar när jag räknar så här istället
varför blir det fel när jag räknar med bråk istället?
Du behöver förklara tydligare i varje steg vad det är du gör! Jag förstår inte.
Smaragdalena skrev:Du behöver förklara tydligare i varje steg vad det är du gör! Jag förstår inte.
jag har delat x upphöjt till 5/6 med nämnaren, sedan har jag multiplicerat in resultatet dvs x upphöjt till 1/4 med parenteserna
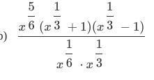
Var är täljaren? Var är nämnaren? Allt är en enda röra.
Menar du att är en förenkling av nämnaren? Det stämmer inte. xa.xb = xa+b.
Smaragdalena skrev:Var är täljaren? Var är nämnaren? Allt är en enda röra.
Menar du att är en förenkling av nämnaren? Det stämmer inte. xa.xb = xa+b.
man kan se i uppgiften att täljaren nämnare är
förkortningen blir
sedan
så vi får
nu blir det rätt tror jag?
Ja precis det blir rätt nu!
x1/3 =
Men för att svara på din första fråga så blir det inte rätt i din andra ekvation heller. Du glömmer att
Detta är ju när du har , detta blir x
Du behöver multiplicera
Alltså 3 gånger för att det ska bli x.