1
svar
79
visningar
offan123 behöver inte mer hjälp
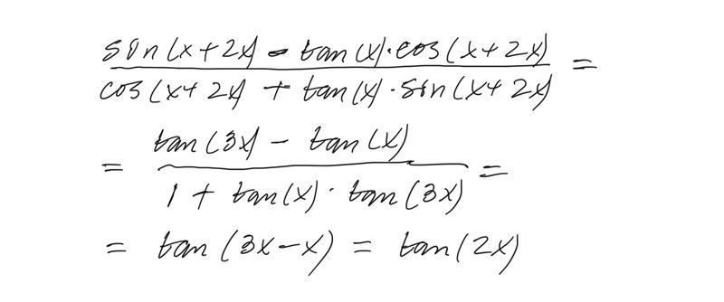
Förenkla, vet inte hur man gör
Jag behöver hjälp med att skriva om det som är vänster om likhetstecknet till tan 2x.
Jag har påbörjat som syns till höger om likhetstecknet. Men fattar verkligen inte hur man ska hantera sinx/cosx, hur förenklar man täljaren och nämnaren för hela uppgiften!!!???
