1
svar
71
visningar
Förenklig geometrisk summa (frequency function)
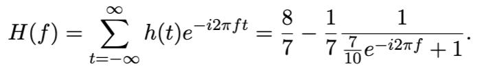
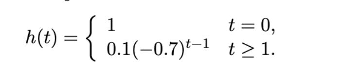
Vid beräkning av frekvens funktionen för ett filter så måste jag använda mig av geometrisk summa. Vridit och vänt på det, men får inte rätt när jag själv räknar. Ni ser här vad H(f) ska bli, och vad h(t) är för funktion. Någon som kan visa mig stegen för att komma fram till samma uttryck?
Mvh
Hanna


Utan att ha lagt ner för mycket tid på det vill jag ju påstå att det liknar en Fourierserie.
Jag skulle testat att göra om exponentialen till sin och cos och försökt hitta lämplig integral.